이번 글에서는 전자공학과 등 광운대 편입 관련 정보에 대해 알아보도록 하겠습니다. 요강, 경쟁률, 기출문제, 커트라인 등 2023년, 2024년 광운대학교 편입학 관련 정보가 궁금하신 분들은 아래 내용 참고하시길 바랍니다.
광운대 편입
광운대학교는 서울특별시 노원구 월계동에 위치한 4년제 종합 사립대학교입니다. 광운대는 이공계열, 실용학문 중심의 대학으로 전통적으로 공학 또는 실용학문 분야에서 강점을 보이고 있습니다. 광운대학교의 전자공과대학, 전자공학과는 우리나라에서 최초로 설립이 되었으며 단일 단과대학으로는 국내 최대 규모를 자랑하고 있기도 합니다.
광운대는 삼성전자, SK하이닉스 등 주요 IT 기업 입사자 순위에서 전국 대학 기준 최상위권을 자랑하고 있습니다. 삼성전자 임직원 출신 대학에서도 국내 5위를 차지하고 있으며 SK하이닉스 임직원 출신 대학에서는 국내 3위를 차지하고 있습니다. 이렇게 공학계열 취업 성과는 인서울 대학교 중에서도 최상위권 명문대와 어깨를 나란히 할 정도로 삼성전자, SK하이닉스에만 매년 수백 명이 성공적으로 취업을 하고 있습니다.
그렇다면 광운대학교 편입 요강, 경쟁률, 기출문제, 커트라인 등은 어떻게 될까요? 이번 글에서는 이에 대해 차례대로 하나씩 살펴보도록 하겠습니다.
참고로 아래에는 전국 대학교 순위 100, 전국 대학 순위 100 관련 정보에 대해 정리해 두었습니다. 또한 광운대 등록금, 장학금 관련 정보도 첨부해 두었으니 편입을 앞두고 국내 대학 순위, 광운대 등록금 관련 내용이 궁금하신 분들은 아래 글도 함께 참고해 보시길 바랍니다.
광운대 편입 요강
그렇다면 광운대 편입 요강은 어떻게 될까요? 아래에는 편입 모집요강 원본 자료를 첨부해 두었으니 참고하시길 바랍니다. 해당 자료에는 편입 전형 일정, 지원 자격, 지원 가능 학과, 모집 인원, 전형 방법 등이 자세히 정리되어 있습니다.

참고로 광운대학교 편입 모집단위에는 2023학년도 기준 전자정보공과대학 전자공학과, 전자통신공학과, 전자융합공학과, 전기공학과, 전자재료공학과, 로봇학부 (정보제어전공, 지능시스템전공) 등이 있었습니다. 소프트웨어융합대학 컴퓨터정보공학부 (컴퓨터공학전공, 지능정보공학전공), 소프트웨어학부 (소프트웨어전공, 인공지능전공), 정보융합학부 (비주얼테크놀로지전공, 데이터사이언스전공) 등도 있었습니다.
또한 공과대학 건축학과, 건축공학과, 화학공학과, 환경공학과 등과 함께 자연과학대학 수학과, 전자바이오물리학과, 화학과, 스포츠융합과학과, 정보콘텐츠학과 등도 편입학생을 모집한 바 있습니다. 인문사회과학대학 국어국문학과, 영어산업학과, 미디어커뮤니케이션학부 (언론정보전공, 인터랙티브미디어커뮤니케이션전공, 전략커뮤니케이션전공), 산업심리학과, 동북아문화산업학부 (문화교류전공, 문화콘텐츠개발전공) 등도 있었습니다.
더불어 정책법학대학 행정학과, 법학부 (일반법학전공, 국제법무전공, 과학기술법무전공), 국제학부 (국제지역전공), 자산관리학과 등을 포함하여 경영대학 경영학부 (경영학전공), 국제통상학부 (국제통상전공) 등도 있었습니다. 이는 2023학년도 기준으로 2024학년도 편입학 모집단위, 모집인원은 일부 변경될 수 있는 점 참고하시길 바랍니다.
광운대 편입 커트라인 (영어, 수학)
그렇다면 광운대학교 편입학 커트라인은 어떻게 될까요? 광운대학교의 경우 편입학 합격자의 영어, 수학 필답고사 점수를 공개하고 있습니다. 각 세부 전형별, 모집단위별 필답고사 평균 성적을 확인하고 싶으신 분들은 아래 자료를 확인해 보시길 바랍니다.

광운대 편입 경쟁률
그렇다면 광운대 편입 경쟁률은 어떻게 될까요? 아래에는 광운대학교 편입학 지원 현황 관련 자료가 첨부되어 있으니 참고하시길 바랍니다. 해당 자료에는 모집단위별 지원 정원, 지원 인원, 경쟁률 등이 정리되어 있습니다.

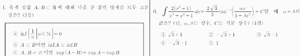
광운대 편입 기출문제 (수학, 영어)
아래는 광운대 편입 기출문제를 정리해둔 것입니다. 광운대 기출문제, 답지, 해설 등이 필요하신 분들은 아래 자료를 참고하시길 바랍니다. 수학 A형, 영어 A형 1교시, 영어 A형 2교시 등 광운대 편입 필답고사, 필기시험 기출문제가 필요하신 분들은 아래 자료를 참고하시길 바랍니다.

편입 관련 참고 자료
아래에는 편입 요강, 경쟁률, 기출문제, 커트라인 등 국내 대학 편입과 관련된 내용들을 모두 정리해 두었습니다. 대학별 편입과 관련된 상세 내용이 궁금하신 분들은 해당 내용들도 함께 확인해 보시길 바랍니다.
마무리
이번 글에서는 광운대 편입 관련 정보에 대해 함께 살펴보았습니다. 편입 요강, 경쟁률, 기출문제, 커트라인 등 이와 관련된 내용들이 궁금하신 분들은 말씀드린 내용들 참고되셨길 바랍니다.